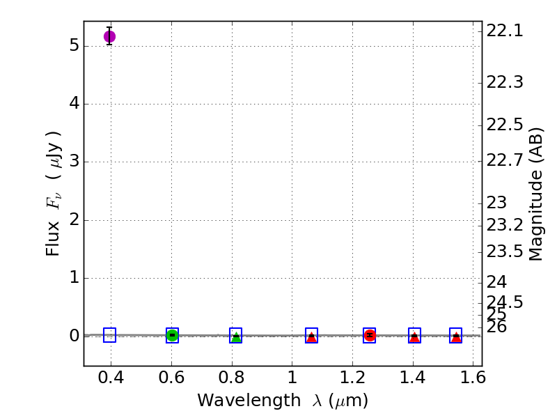
RXS0603+42-N IR detection object #2687

Color images and BPZ results
Catalog: 2687.cat
Black segments are analyzed here.   Roll mouse over color images to view segments.
Best viewed in a wide browser window (1200 pixels or more).   Download SED & P(z) plots to view larger versions.
In P(z) plots: Yellow lines mark the cluster redshift z = 0.228,  

Object #2687   x,y = (1794, 2675)   RA, Dec = (06:03:17.976, 42:15:58.32) = (90.82490, 42.26620)   BPZ = 1.697 [0.290--5.497]   type = 11.00 (SB11_A_0_l)   stellarity = 0.89   chisq2 = 283.90   ODDS = 0.12   z_cluster = 0.228