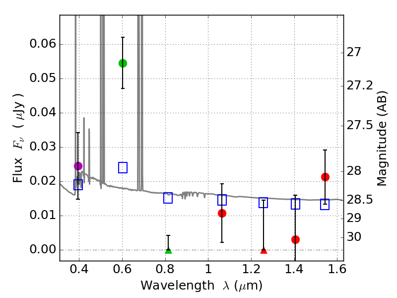
RXS0603+42-N IR detection object #2670

Color images and BPZ results
Catalog: 2670.cat
Black segments are analyzed here.   Roll mouse over color images to view segments.
Best viewed in a wide browser window (1200 pixels or more).   Download SED & P(z) plots to view larger versions.
In P(z) plots: Yellow lines mark the cluster redshift z = 0.228,  

Object #2670   x,y = (3324, 2682)   RA, Dec = (06:03:09.696, 42:15:58.68) = (90.79040, 42.26630)   BPZ = 0.028 [0.038--2.930]   type = 11.00 (SB11_A_0_l)   stellarity = 0.37   chisq2 = 7.64   ODDS = 0.04   z_cluster = 0.228