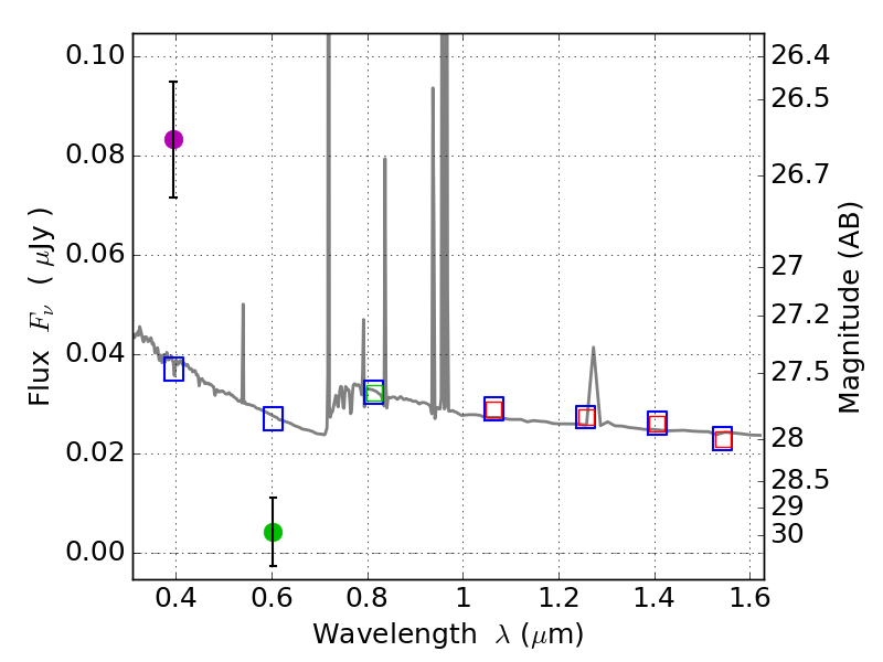
RXS0603+42-N IR detection object #2668

Color images and BPZ results
Catalog: 2668.cat
Black segments are analyzed here.   Roll mouse over color images to view segments.
Best viewed in a wide browser window (1200 pixels or more).   Download SED & P(z) plots to view larger versions.
In P(z) plots: Yellow lines mark the cluster redshift z = 0.228,  

Object #2668   x,y = (4637, 2682)   RA, Dec = (06:03:02.592, 42:15:58.68) = (90.76080, 42.26630)   BPZ = 0.931 [0.706--2.237]   type = 11.00 (SB11_A_0_l)   stellarity = 0.48   chisq2 = 24.66   ODDS = 0.15   z_cluster = 0.228