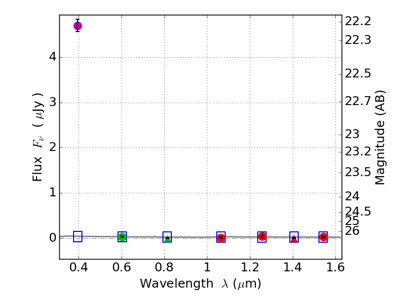
RXS0603+42-N IR detection object #2654

Color images and BPZ results
Catalog: 2654.cat
Black segments are analyzed here.   Roll mouse over color images to view segments.
Best viewed in a wide browser window (1200 pixels or more).   Download SED & P(z) plots to view larger versions.
In P(z) plots: Yellow lines mark the cluster redshift z = 0.228,  

Object #2654   x,y = (1755, 2685)   RA, Dec = (06:03:18.168, 42:15:58.68) = (90.82570, 42.26630)   BPZ = 1.700 [0.684--2.630]   type = 11.00 (SB11_A_0_l)   stellarity = 0.90   chisq2 = 274.20   ODDS = 0.24   z_cluster = 0.228