RXS0603+42-N IR detection object #2648

Color images and BPZ results
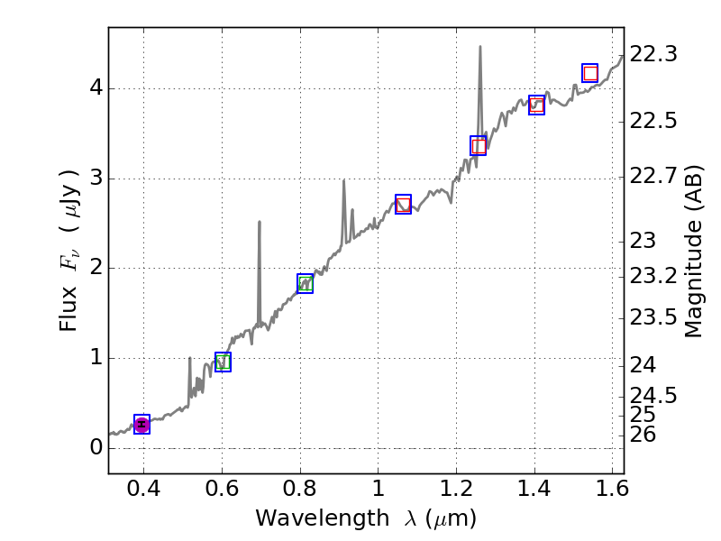
Catalog: 2648.cat
Black segments are analyzed here.   Roll mouse over color images to view segments.
Best viewed in a wide browser window (1200 pixels or more).   Download SED & P(z) plots to view larger versions.
In P(z) plots: Yellow lines mark the cluster redshift z = 0.228,  

Object #2648   x,y = (4886, 2677)   RA, Dec = (06:03:01.248, 42:15:58.32) = (90.75520, 42.26620)   BPZ = 0.395 [0.051--0.865]   type = 6.50 (Scd_B10 - Sbc_B10)   stellarity = 0.86   chisq2 = 990.00   ODDS = 0.20   z_cluster = 0.228