RXS0603+42-N IR detection object #2642

Color images and BPZ results
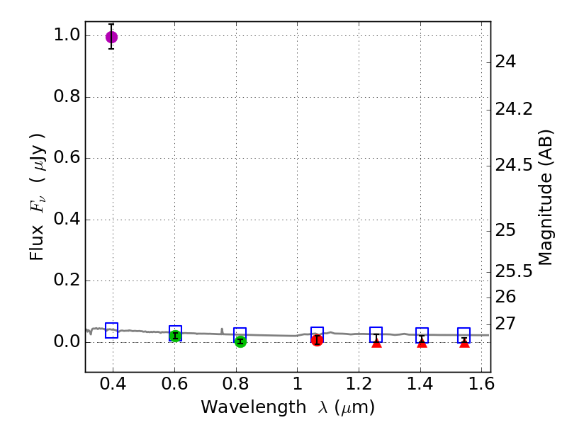
Catalog: 2642.cat
Black segments are analyzed here.   Roll mouse over color images to view segments.
Best viewed in a wide browser window (1200 pixels or more).   Download SED & P(z) plots to view larger versions.
In P(z) plots: Yellow lines mark the cluster redshift z = 0.228,  

Object #2642   x,y = (1750, 2691)   RA, Dec = (06:03:18.192, 42:15:59.04) = (90.82580, 42.26640)   BPZ = 1.701 [1.263--2.255]   type = 11.00 (SB11_A_0_l)   stellarity = 0.97   chisq2 = 140.30   ODDS = 0.46   z_cluster = 0.228