RXS0603+42-N IR detection object #2633

Color images and BPZ results
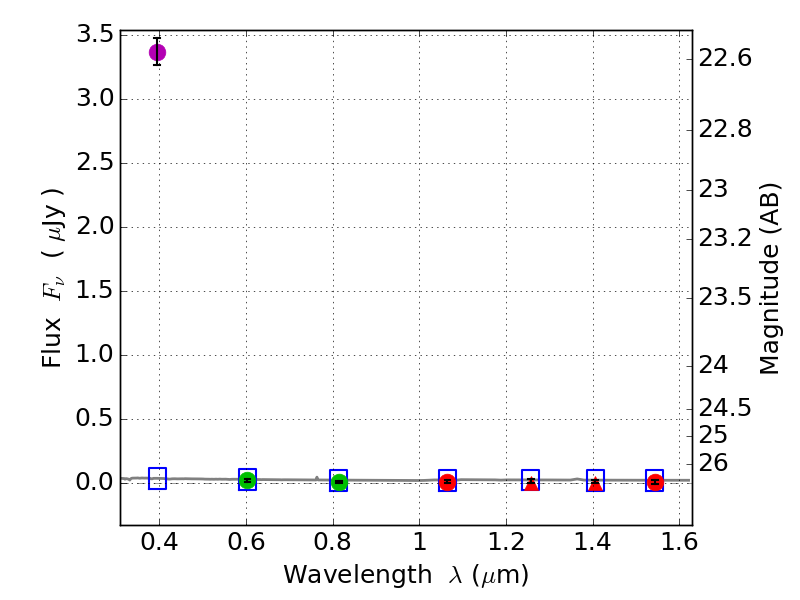
Catalog: 2633.cat
Black segments are analyzed here.   Roll mouse over color images to view segments.
Best viewed in a wide browser window (1200 pixels or more).   Download SED & P(z) plots to view larger versions.
In P(z) plots: Yellow lines mark the cluster redshift z = 0.228,  

Object #2633   x,y = (1754, 2698)   RA, Dec = (06:03:18.168, 42:15:59.40) = (90.82570, 42.26650)   BPZ = 1.733 [0.491--2.802]   type = 11.00 (SB11_A_0_l)   stellarity = 0.99   chisq2 = 259.60   ODDS = 0.24   z_cluster = 0.228