RXS0603+42-N IR detection object #2612

Color images and BPZ results
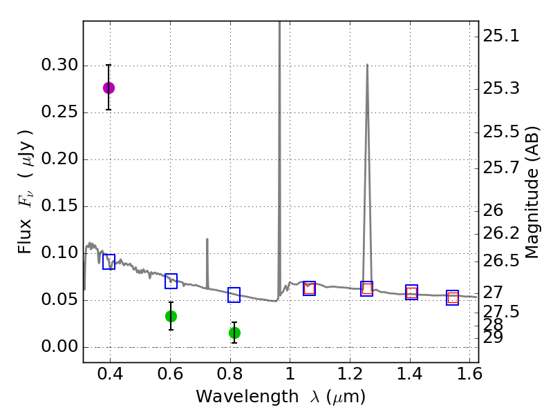
Catalog: 2612.cat
Black segments are analyzed here.   Roll mouse over color images to view segments.
Best viewed in a wide browser window (1200 pixels or more).   Download SED & P(z) plots to view larger versions.
In P(z) plots: Yellow lines mark the cluster redshift z = 0.228,  

Object #2612   x,y = (4245, 2690)   RA, Dec = (06:03:04.728, 42:15:59.04) = (90.76970, 42.26640)   BPZ = 1.593 [1.252--2.044]   type = 11.00 (SB11_A_0_l)   stellarity = 0.09   chisq2 = 71.71   ODDS = 0.40   z_cluster = 0.228