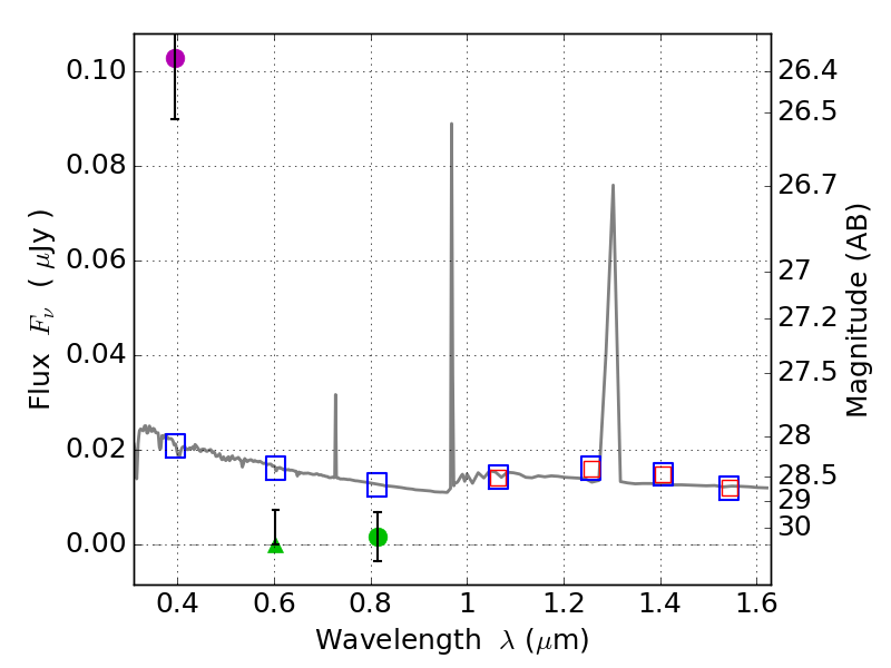
RXS0603+42-N IR detection object #2575

Color images and BPZ results
Catalog: 2575.cat
Black segments are analyzed here.   Roll mouse over color images to view segments.
Best viewed in a wide browser window (1200 pixels or more).   Download SED & P(z) plots to view larger versions.
In P(z) plots: Yellow lines mark the cluster redshift z = 0.228,  

Object #2575   x,y = (4190, 2718)   RA, Dec = (06:03:05.016, 42:16:00.84) = (90.77090, 42.26690)   BPZ = 1.596 [0.699--2.784]   type = 11.00 (SB11_A_0_l)   stellarity = 0.45   chisq2 = 47.27   ODDS = 0.20   z_cluster = 0.228