RXS0603+42-N IR detection object #2572

Color images and BPZ results
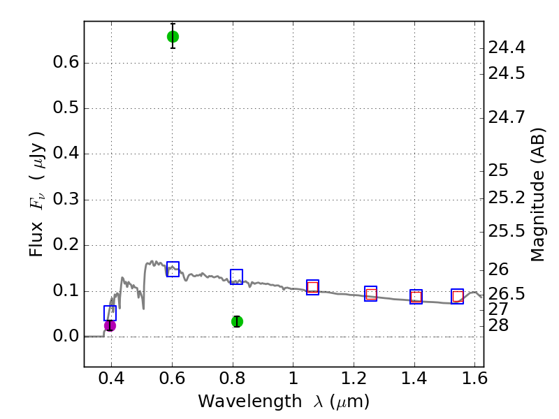
Catalog: 2572.cat
Black segments are analyzed here.   Roll mouse over color images to view segments.
Best viewed in a wide browser window (1200 pixels or more).   Download SED & P(z) plots to view larger versions.
In P(z) plots: Yellow lines mark the cluster redshift z = 0.228,  

Object #2572   x,y = (4364, 2876)   RA, Dec = (06:03:04.080, 42:16:10.20) = (90.76700, 42.26950)   BPZ = 3.172 [3.015--3.323]   type = 11.00 (SB11_A_0_l)   stellarity = 0.77   chisq2 = 383.00   ODDS = 0.97   z_cluster = 0.228