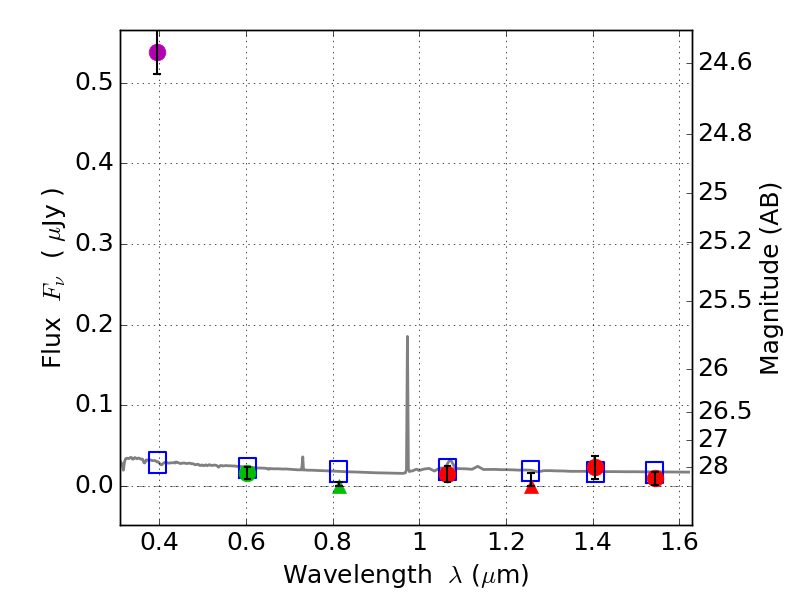
RXS0603+42-N IR detection object #2566

Color images and BPZ results
Catalog: 2566.cat
Black segments are analyzed here.   Roll mouse over color images to view segments.
Best viewed in a wide browser window (1200 pixels or more).   Download SED & P(z) plots to view larger versions.
In P(z) plots: Yellow lines mark the cluster redshift z = 0.228,  

Object #2566   x,y = (1802, 2713)   RA, Dec = (06:03:17.928, 42:16:00.48) = (90.82470, 42.26680)   BPZ = 1.610 [1.205--2.236]   type = 11.00 (SB11_A_0_l)   stellarity = 0.83   chisq2 = 85.92   ODDS = 0.36   z_cluster = 0.228