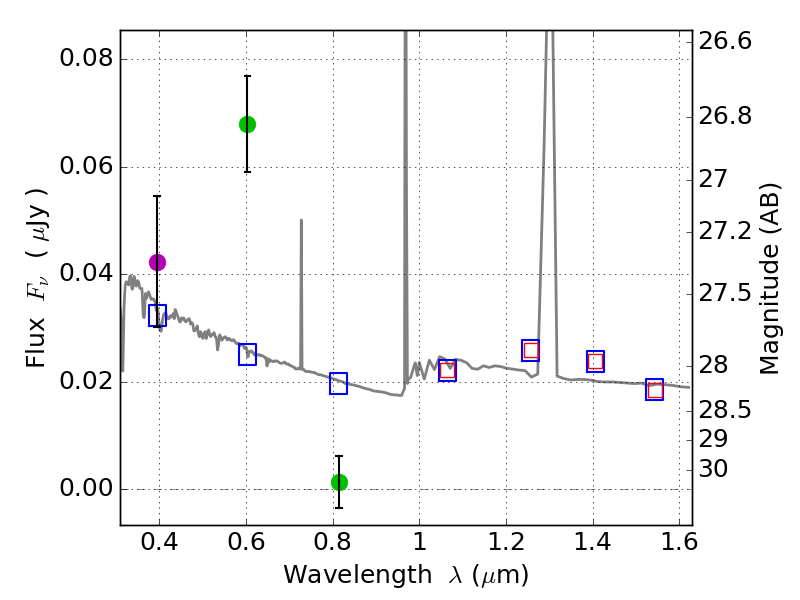
RXS0603+42-N IR detection object #2556

Color images and BPZ results
Catalog: 2556.cat
Black segments are analyzed here.   Roll mouse over color images to view segments.
Best viewed in a wide browser window (1200 pixels or more).   Download SED & P(z) plots to view larger versions.
In P(z) plots: Yellow lines mark the cluster redshift z = 0.228,  

Object #2556   x,y = (4039, 2726)   RA, Dec = (06:03:05.832, 42:16:01.20) = (90.77430, 42.26700)   BPZ = 1.597 [0.690--2.740]   type = 11.00 (SB11_A_0_l)   stellarity = 0.18   chisq2 = 34.45   ODDS = 0.22   z_cluster = 0.228