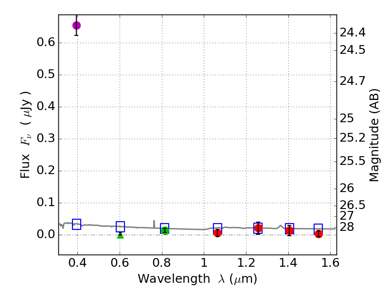
RXS0603+42-N IR detection object #2499

Color images and BPZ results
Catalog: 2499.cat
Black segments are analyzed here.   Roll mouse over color images to view segments.
Best viewed in a wide browser window (1200 pixels or more).   Download SED & P(z) plots to view larger versions.
In P(z) plots: Yellow lines mark the cluster redshift z = 0.228,  

Object #2499   x,y = (1817, 2742)   RA, Dec = (06:03:17.832, 42:16:02.28) = (90.82430, 42.26730)   BPZ = 1.730 [0.855--2.265]   type = 11.00 (SB11_A_0_l)   stellarity = 0.73   chisq2 = 93.84   ODDS = 0.40   z_cluster = 0.228