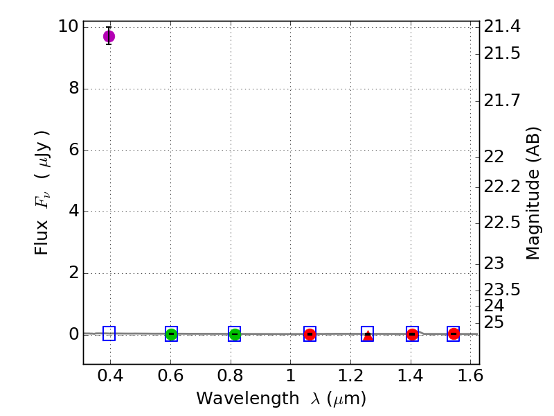
RXS0603+42-N IR detection object #2493

Color images and BPZ results
Catalog: 2493.cat
Black segments are analyzed here.   Roll mouse over color images to view segments.
Best viewed in a wide browser window (1200 pixels or more).   Download SED & P(z) plots to view larger versions.
In P(z) plots: Yellow lines mark the cluster redshift z = 0.228,  

Object #2493   x,y = (1769, 2736)   RA, Dec = (06:03:18.096, 42:16:01.92) = (90.82540, 42.26720)   BPZ = 1.855 [0.325--3.624]   type = 11.00 (SB11_A_0_l)   stellarity = 1.00   chisq2 = 285.60   ODDS = 0.13   z_cluster = 0.228