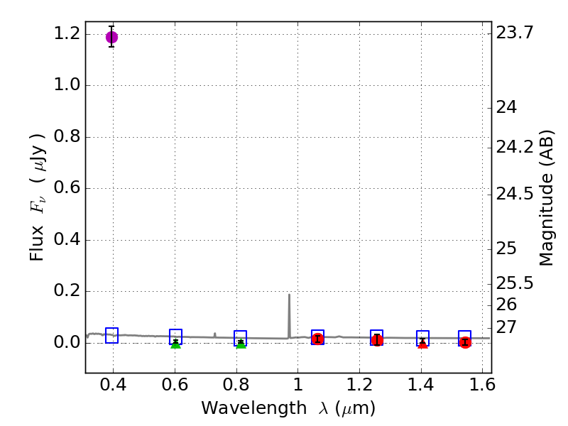
RXS0603+42-N IR detection object #2484

Color images and BPZ results
Catalog: 2484.cat
Black segments are analyzed here.   Roll mouse over color images to view segments.
Best viewed in a wide browser window (1200 pixels or more).   Download SED & P(z) plots to view larger versions.
In P(z) plots: Yellow lines mark the cluster redshift z = 0.228,  

Object #2484   x,y = (1906, 2746)   RA, Dec = (06:03:17.352, 42:16:02.64) = (90.82230, 42.26740)   BPZ = 1.612 [1.002--2.233]   type = 11.00 (SB11_A_0_l)   stellarity = 0.97   chisq2 = 203.70   ODDS = 0.37   z_cluster = 0.228