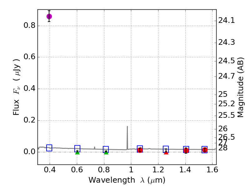
RXS0603+42-N IR detection object #2475

Color images and BPZ results
Catalog: 2475.cat
Black segments are analyzed here.   Roll mouse over color images to view segments.
Best viewed in a wide browser window (1200 pixels or more).   Download SED & P(z) plots to view larger versions.
In P(z) plots: Yellow lines mark the cluster redshift z = 0.228,  

Object #2475   x,y = (1778, 2750)   RA, Dec = (06:03:18.048, 42:16:02.64) = (90.82520, 42.26740)   BPZ = 1.611 [0.965--2.319]   type = 11.00 (SB11_A_0_l)   stellarity = 0.97   chisq2 = 140.90   ODDS = 0.29   z_cluster = 0.228