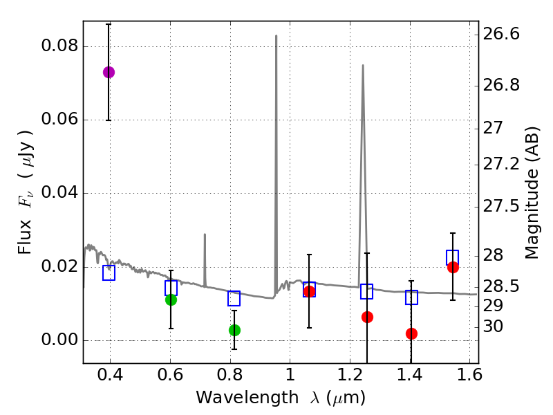
RXS0603+42-N IR detection object #2442

Color images and BPZ results
Catalog: 2442.cat
Black segments are analyzed here.   Roll mouse over color images to view segments.
Best viewed in a wide browser window (1200 pixels or more).   Download SED & P(z) plots to view larger versions.
In P(z) plots: Yellow lines mark the cluster redshift z = 0.228,  

Object #2442   x,y = (2841, 2761)   RA, Dec = (06:03:12.312, 42:16:03.36) = (90.80130, 42.26760)   BPZ = 1.556 [0.630--2.812]   type = 11.00 (SB11_A_0_l)   stellarity = 0.36   chisq2 = 5.12   ODDS = 0.17   z_cluster = 0.228