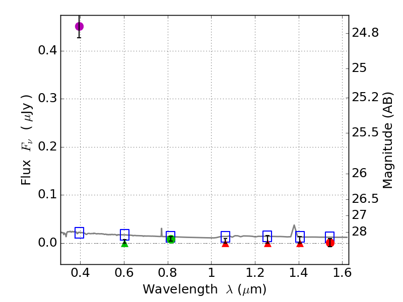
RXS0603+42-N IR detection object #2441

Color images and BPZ results
Catalog: 2441.cat
Black segments are analyzed here.   Roll mouse over color images to view segments.
Best viewed in a wide browser window (1200 pixels or more).   Download SED & P(z) plots to view larger versions.
In P(z) plots: Yellow lines mark the cluster redshift z = 0.228,  

Object #2441   x,y = (1826, 2765)   RA, Dec = (06:03:17.784, 42:16:03.72) = (90.82410, 42.26770)   BPZ = 1.763 [0.668--2.440]   type = 11.00 (SB11_A_0_l)   stellarity = 0.84   chisq2 = 76.62   ODDS = 0.31   z_cluster = 0.228