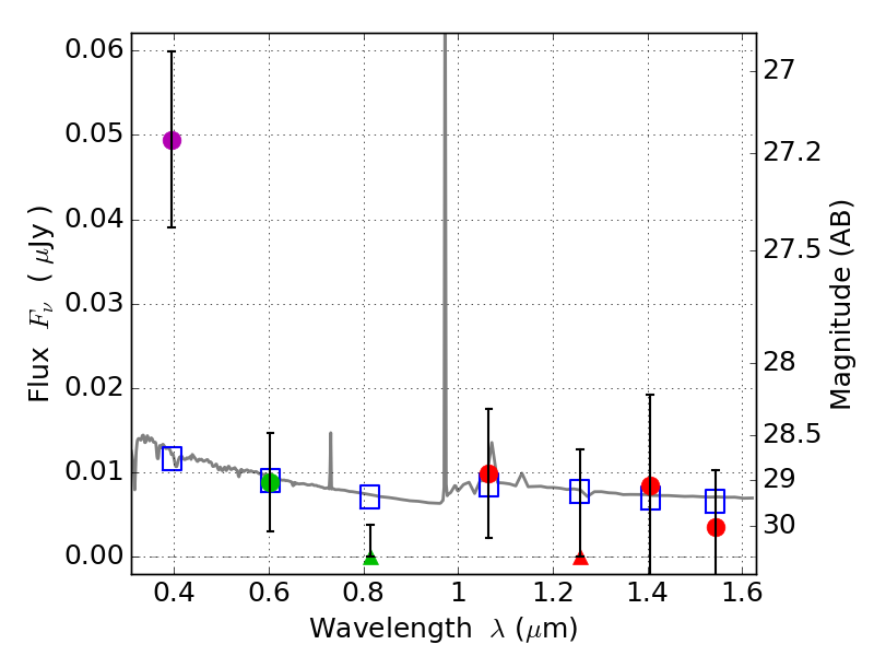
RXS0603+42-N IR detection object #2400

Color images and BPZ results
Catalog: 2400.cat
Black segments are analyzed here.   Roll mouse over color images to view segments.
Best viewed in a wide browser window (1200 pixels or more).   Download SED & P(z) plots to view larger versions.
In P(z) plots: Yellow lines mark the cluster redshift z = 0.228,  

Object #2400   x,y = (2942, 2829)   RA, Dec = (06:03:11.760, 42:16:07.32) = (90.79900, 42.26870)   BPZ = 1.612 [0.353--4.643]   type = 11.00 (SB11_A_0_l)   stellarity = 0.36   chisq2 = 4.25   ODDS = 0.14   z_cluster = 0.228