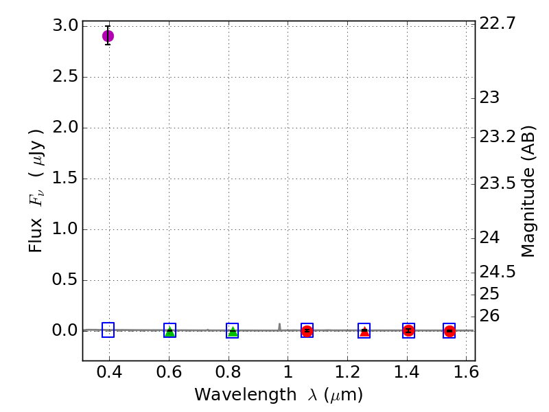
RXS0603+42-N IR detection object #2377

Color images and BPZ results
Catalog: 2377.cat
Black segments are analyzed here.   Roll mouse over color images to view segments.
Best viewed in a wide browser window (1200 pixels or more).   Download SED & P(z) plots to view larger versions.
In P(z) plots: Yellow lines mark the cluster redshift z = 0.228,  

Object #2377   x,y = (1842, 2771)   RA, Dec = (06:03:17.712, 42:16:04.08) = (90.82380, 42.26780)   BPZ = 1.609 [0.333--7.637]   type = 11.00 (SB11_A_0_l)   stellarity = 0.79   chisq2 = 263.20   ODDS = 0.09   z_cluster = 0.228