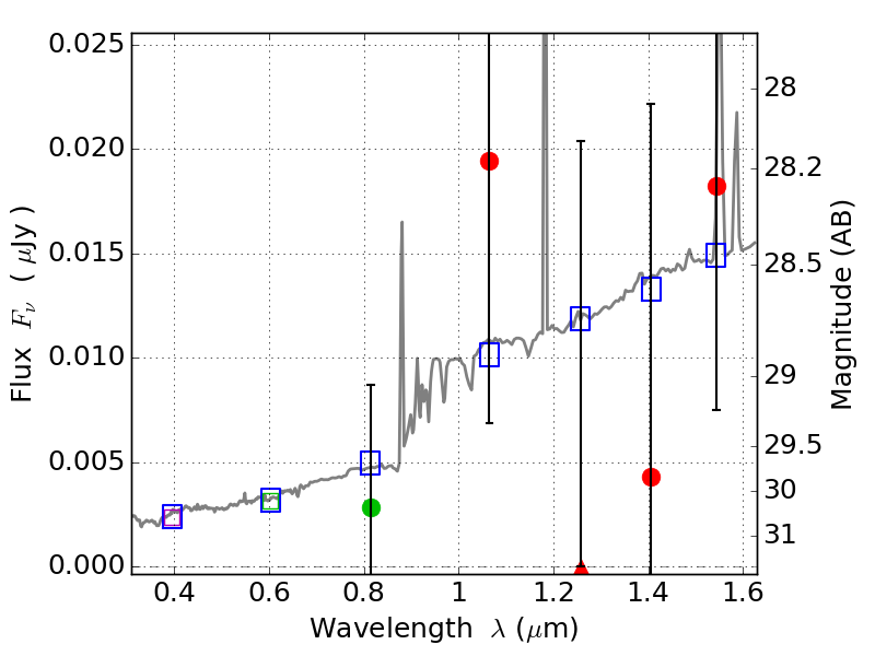
RXS0603+42-N IR detection object #2362

Color images and BPZ results
Catalog: 2362.cat
Black segments are analyzed here.   Roll mouse over color images to view segments.
Best viewed in a wide browser window (1200 pixels or more).   Download SED & P(z) plots to view larger versions.
In P(z) plots: Yellow lines mark the cluster redshift z = 0.228,  

Object #2362   x,y = (1673, 2783)   RA, Dec = (06:03:18.624, 42:16:04.80) = (90.82760, 42.26800)   BPZ = 1.358 [0.370--7.865]   type = 8.00 (SB1_B10)   stellarity = 0.96   chisq2 = 0.68   ODDS = 0.07   z_cluster = 0.228