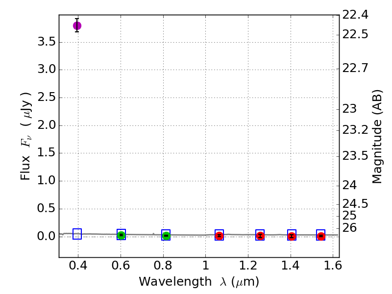
RXS0603+42-N IR detection object #2337

Color images and BPZ results
Catalog: 2337.cat
Black segments are analyzed here.   Roll mouse over color images to view segments.
Best viewed in a wide browser window (1200 pixels or more).   Download SED & P(z) plots to view larger versions.
In P(z) plots: Yellow lines mark the cluster redshift z = 0.228,  

Object #2337   x,y = (1814, 2769)   RA, Dec = (06:03:17.856, 42:16:03.72) = (90.82440, 42.26770)   BPZ = 1.701 [0.674--2.481]   type = 11.00 (SB11_A_0_l)   stellarity = 0.87   chisq2 = 253.80   ODDS = 0.33   z_cluster = 0.228