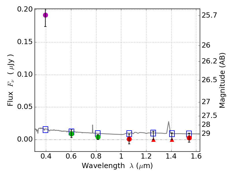
RXS0603+42-N IR detection object #2295

Color images and BPZ results
Catalog: 2295.cat
Black segments are analyzed here.   Roll mouse over color images to view segments.
Best viewed in a wide browser window (1200 pixels or more).   Download SED & P(z) plots to view larger versions.
In P(z) plots: Yellow lines mark the cluster redshift z = 0.228,  

Object #2295   x,y = (1803, 2803)   RA, Dec = (06:03:17.928, 42:16:05.88) = (90.82470, 42.26830)   BPZ = 1.764 [0.451--2.917]   type = 11.00 (SB11_A_0_l)   stellarity = 0.71   chisq2 = 25.16   ODDS = 0.22   z_cluster = 0.228