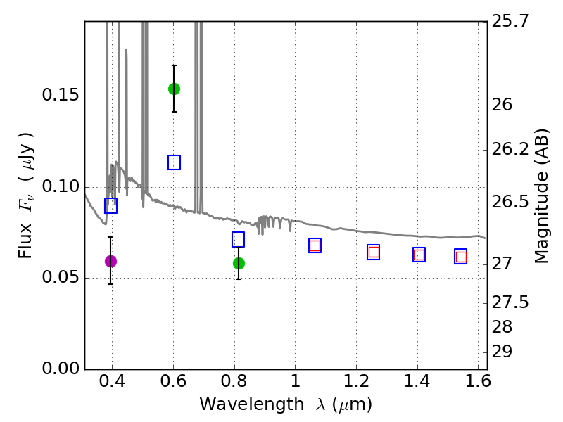
RXS0603+42-N IR detection object #2125

Color images and BPZ results
Catalog: 2125.cat
Black segments are analyzed here.   Roll mouse over color images to view segments.
Best viewed in a wide browser window (1200 pixels or more).   Download SED & P(z) plots to view larger versions.
In P(z) plots: Yellow lines mark the cluster redshift z = 0.228,  

Object #2125   x,y = (4254, 2863)   RA, Dec = (06:03:04.656, 42:16:09.48) = (90.76940, 42.26930)   BPZ = 0.030 [0.012--3.002]   type = 11.00 (SB11_A_0_l)   stellarity = 0.50   chisq2 = 12.77   ODDS = 0.53   z_cluster = 0.228