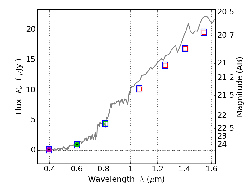
RXS0603+42-N IR detection object #2101

Color images and BPZ results
Catalog: 2101.cat
Black segments are analyzed here.   Roll mouse over color images to view segments.
Best viewed in a wide browser window (1200 pixels or more).   Download SED & P(z) plots to view larger versions.
In P(z) plots: Yellow lines mark the cluster redshift z = 0.228,  

Object #2101   x,y = (4447, 2868)   RA, Dec = (06:03:03.624, 42:16:09.84) = (90.76510, 42.26940)   BPZ = 0.890 [0.357--3.510]   type = 4.70 (ES0_B10 - Ell4_A_0)   stellarity = 0.68   chisq2 = 0.00   ODDS = 0.21   z_cluster = 0.228