RXS0603+42-N IR detection object #2093

Color images and BPZ results
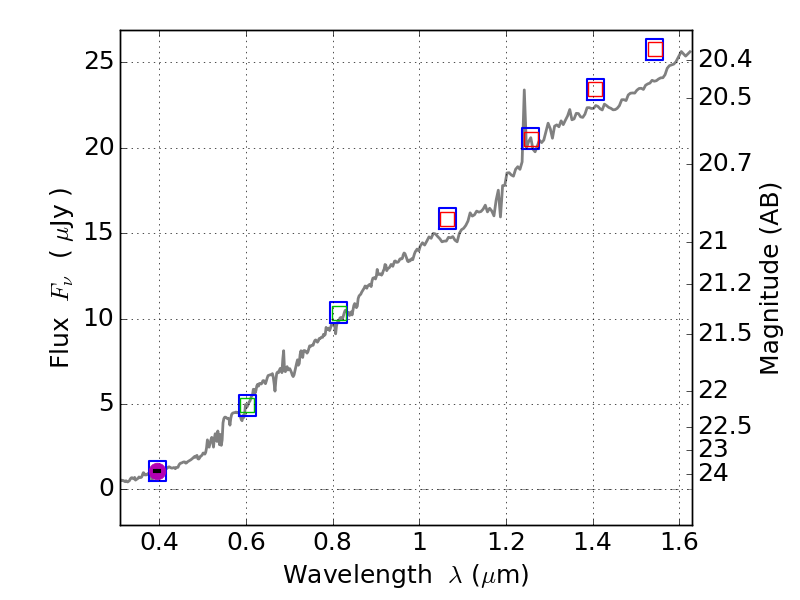
Catalog: 2093.cat
Black segments are analyzed here.   Roll mouse over color images to view segments.
Best viewed in a wide browser window (1200 pixels or more).   Download SED & P(z) plots to view larger versions.
In P(z) plots: Yellow lines mark the cluster redshift z = 0.228,  

Object #2093   x,y = (4614, 2874)   RA, Dec = (06:03:02.712, 42:16:10.20) = (90.76130, 42.26950)   BPZ = 0.369 [0.051--0.865]   type = 6.00 (Sbc_B10)   stellarity = 0.69   chisq2 = 990.00   ODDS = 0.20   z_cluster = 0.228