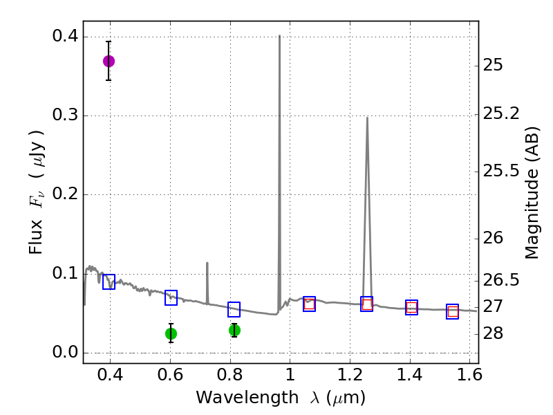
RXS0603+42-N IR detection object #2072

Color images and BPZ results
Catalog: 2072.cat
Black segments are analyzed here.   Roll mouse over color images to view segments.
Best viewed in a wide browser window (1200 pixels or more).   Download SED & P(z) plots to view larger versions.
In P(z) plots: Yellow lines mark the cluster redshift z = 0.228,  

Object #2072   x,y = (4086, 2881)   RA, Dec = (06:03:05.568, 42:16:10.56) = (90.77320, 42.26960)   BPZ = 1.593 [1.272--1.961]   type = 11.00 (SB11_A_0_l)   stellarity = 0.64   chisq2 = 144.60   ODDS = 0.46   z_cluster = 0.228