RXS0603+42-N IR detection object #2065

Color images and BPZ results
Catalog: 2065.cat
Black segments are analyzed here.   Roll mouse over color images to view segments.
Best viewed in a wide browser window (1200 pixels or more).   Download SED & P(z) plots to view larger versions.
In P(z) plots: Yellow lines mark the cluster redshift z = 0.228,  

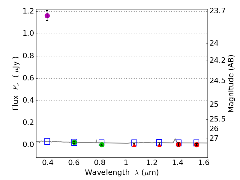
Object #2065   x,y = (1889, 2884)   RA, Dec = (06:03:17.448, 42:16:10.56) = (90.82270, 42.26960)   BPZ = 1.763 [1.201--2.369]   type = 11.00 (SB11_A_0_l)   stellarity = 0.99   chisq2 = 161.10   ODDS = 0.40   z_cluster = 0.228