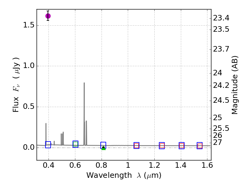
RXS0603+42-N IR detection object #205

Color images and BPZ results
Catalog: 205.cat
Black segments are analyzed here.   Roll mouse over color images to view segments.
Best viewed in a wide browser window (1200 pixels or more).   Download SED & P(z) plots to view larger versions.
In P(z) plots: Yellow lines mark the cluster redshift z = 0.228,  

Object #205   x,y = (2682, 3728)   RA, Dec = (06:03:13.176, 42:17:01.32) = (90.80490, 42.28370)   BPZ = 0.024 [0.011--0.693]   type = 11.00 (SB11_A_0_l)   stellarity = 0.91   chisq2 = 739.00   ODDS = 0.69   z_cluster = 0.228