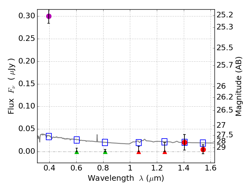
RXS0603+42-N IR detection object #2012

Color images and BPZ results
Catalog: 2012.cat
Black segments are analyzed here.   Roll mouse over color images to view segments.
Best viewed in a wide browser window (1200 pixels or more).   Download SED & P(z) plots to view larger versions.
In P(z) plots: Yellow lines mark the cluster redshift z = 0.228,  

Object #2012   x,y = (2931, 2901)   RA, Dec = (06:03:11.808, 42:16:11.64) = (90.79920, 42.26990)   BPZ = 1.698 [1.379--2.089]   type = 11.00 (SB11_A_0_l)   stellarity = 0.74   chisq2 = 74.13   ODDS = 0.56   z_cluster = 0.228