RXS0603+42-N IR detection object #2006

Color images and BPZ results
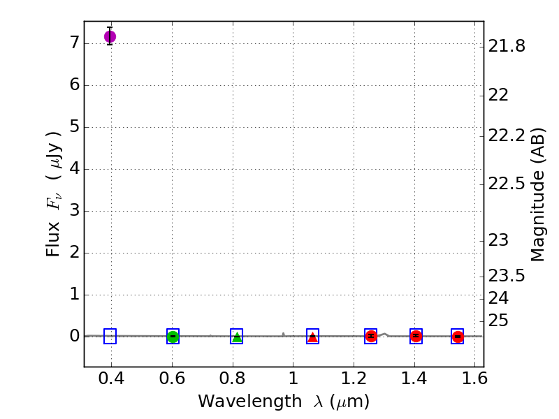
Catalog: 2006.cat
Black segments are analyzed here.   Roll mouse over color images to view segments.
Best viewed in a wide browser window (1200 pixels or more).   Download SED & P(z) plots to view larger versions.
In P(z) plots: Yellow lines mark the cluster redshift z = 0.228,  

Object #2006   x,y = (1866, 2898)   RA, Dec = (06:03:17.568, 42:16:11.64) = (90.82320, 42.26990)   BPZ = 1.599 [0.312--6.639]   type = 11.00 (SB11_A_0_l)   stellarity = 1.00   chisq2 = 286.70   ODDS = 0.09   z_cluster = 0.228