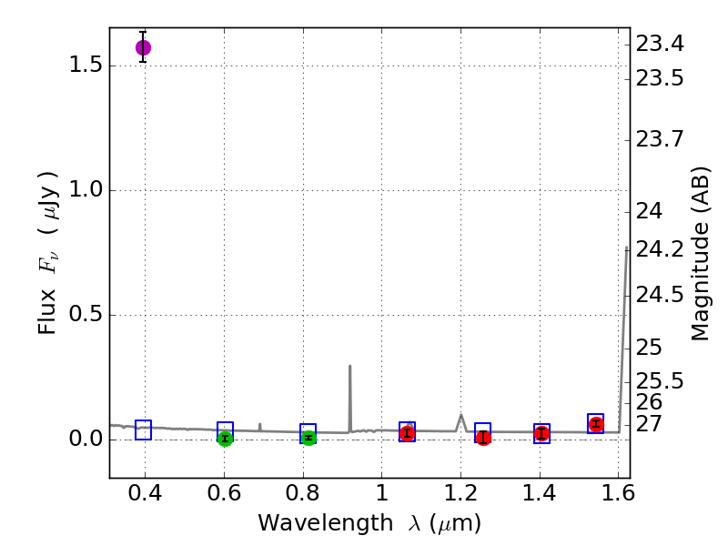
RXS0603+42-N IR detection object #1967

Color images and BPZ results
Catalog: 1967.cat
Black segments are analyzed here.   Roll mouse over color images to view segments.
Best viewed in a wide browser window (1200 pixels or more).   Download SED & P(z) plots to view larger versions.
In P(z) plots: Yellow lines mark the cluster redshift z = 0.228,  

Object #1967   x,y = (1889, 2914)   RA, Dec = (06:03:17.448, 42:16:12.36) = (90.82270, 42.27010)   BPZ = 1.469 [1.163--2.149]   type = 11.00 (SB11_A_0_l)   stellarity = 0.96   chisq2 = 166.50   ODDS = 0.51   z_cluster = 0.228