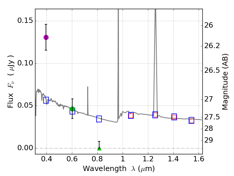
RXS0603+42-N IR detection object #1959

Color images and BPZ results
Catalog: 1959.cat
Black segments are analyzed here.   Roll mouse over color images to view segments.
Best viewed in a wide browser window (1200 pixels or more).   Download SED & P(z) plots to view larger versions.
In P(z) plots: Yellow lines mark the cluster redshift z = 0.228,  

Object #1959   x,y = (4237, 2917)   RA, Dec = (06:03:04.752, 42:16:12.72) = (90.76980, 42.27020)   BPZ = 1.594 [1.281--2.148]   type = 11.00 (SB11_A_0_l)   stellarity = 0.59   chisq2 = 37.35   ODDS = 0.37   z_cluster = 0.228