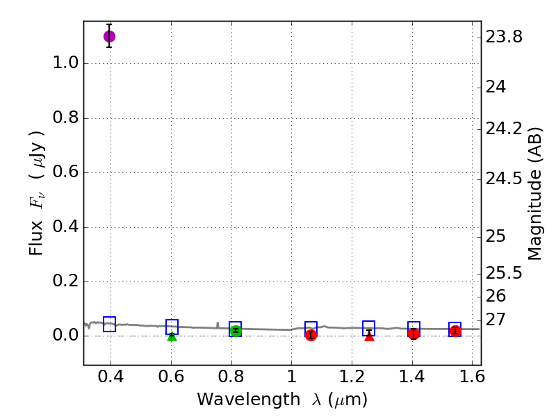
RXS0603+42-N IR detection object #1947

Color images and BPZ results
Catalog: 1947.cat
Black segments are analyzed here.   Roll mouse over color images to view segments.
Best viewed in a wide browser window (1200 pixels or more).   Download SED & P(z) plots to view larger versions.
In P(z) plots: Yellow lines mark the cluster redshift z = 0.228,  

Object #1947   x,y = (1939, 2975)   RA, Dec = (06:03:17.184, 42:16:16.32) = (90.82160, 42.27120)   BPZ = 1.700 [0.970--2.245]   type = 11.00 (SB11_A_0_l)   stellarity = 0.98   chisq2 = 155.60   ODDS = 0.37   z_cluster = 0.228