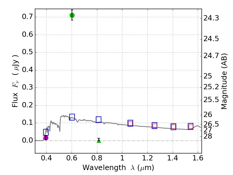
RXS0603+42-N IR detection object #1944

Color images and BPZ results
Catalog: 1944.cat
Black segments are analyzed here.   Roll mouse over color images to view segments.
Best viewed in a wide browser window (1200 pixels or more).   Download SED & P(z) plots to view larger versions.
In P(z) plots: Yellow lines mark the cluster redshift z = 0.228,  

Object #1944   x,y = (4317, 2921)   RA, Dec = (06:03:04.320, 42:16:13.08) = (90.76800, 42.27030)   BPZ = 3.169 [0.021--3.338]   type = 11.00 (SB11_A_0_l)   stellarity = 0.69   chisq2 = 443.70   ODDS = 0.85   z_cluster = 0.228