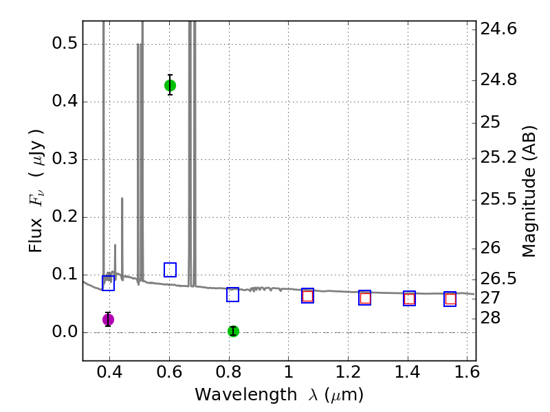
RXS0603+42-N IR detection object #1938

Color images and BPZ results
Catalog: 1938.cat
Black segments are analyzed here.   Roll mouse over color images to view segments.
Best viewed in a wide browser window (1200 pixels or more).   Download SED & P(z) plots to view larger versions.
In P(z) plots: Yellow lines mark the cluster redshift z = 0.228,  

Object #1938   x,y = (4221, 2925)   RA, Dec = (06:03:04.848, 42:16:13.08) = (90.77020, 42.27030)   BPZ = 0.018 [0.010--0.041]   type = 11.00 (SB11_A_0_l)   stellarity = 0.70   chisq2 = 338.70   ODDS = 1.00   z_cluster = 0.228