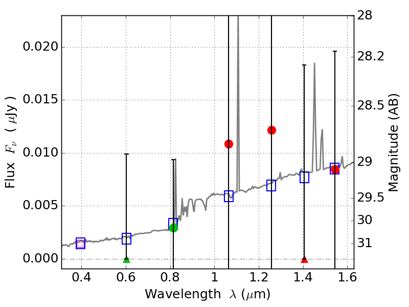
RXS0603+42-N IR detection object #1934

Color images and BPZ results
Catalog: 1934.cat
Black segments are analyzed here.   Roll mouse over color images to view segments.
Best viewed in a wide browser window (1200 pixels or more).   Download SED & P(z) plots to view larger versions.
In P(z) plots: Yellow lines mark the cluster redshift z = 0.228,  

Object #1934   x,y = (1860, 2922)   RA, Dec = (06:03:17.616, 42:16:13.08) = (90.82340, 42.27030)   BPZ = 1.206 [0.328--8.048]   type = 8.10 (SB1_B10 - SB2_B10)   stellarity = 0.99   chisq2 = 900.00   ODDS = 0.06   z_cluster = 0.228