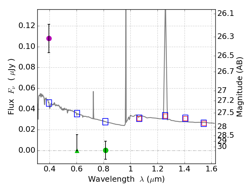
RXS0603+42-N IR detection object #1924

Color images and BPZ results
Catalog: 1924.cat
Black segments are analyzed here.   Roll mouse over color images to view segments.
Best viewed in a wide browser window (1200 pixels or more).   Download SED & P(z) plots to view larger versions.
In P(z) plots: Yellow lines mark the cluster redshift z = 0.228,  

Object #1924   x,y = (4265, 2928)   RA, Dec = (06:03:04.608, 42:16:13.44) = (90.76920, 42.27040)   BPZ = 1.595 [1.120--2.230]   type = 11.00 (SB11_A_0_l)   stellarity = 0.43   chisq2 = 33.45   ODDS = 0.29   z_cluster = 0.228