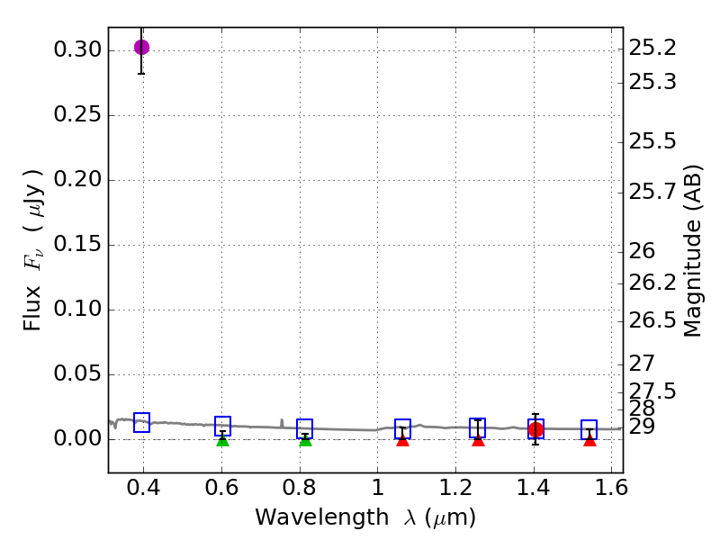
RXS0603+42-N IR detection object #1908

Color images and BPZ results
Catalog: 1908.cat
Black segments are analyzed here.   Roll mouse over color images to view segments.
Best viewed in a wide browser window (1200 pixels or more).   Download SED & P(z) plots to view larger versions.
In P(z) plots: Yellow lines mark the cluster redshift z = 0.228,  

Object #1908   x,y = (1933, 2934)   RA, Dec = (06:03:17.208, 42:16:13.80) = (90.82170, 42.27050)   BPZ = 1.698 [0.406--5.346]   type = 11.00 (SB11_A_0_l)   stellarity = 0.77   chisq2 = 50.11   ODDS = 0.18   z_cluster = 0.228