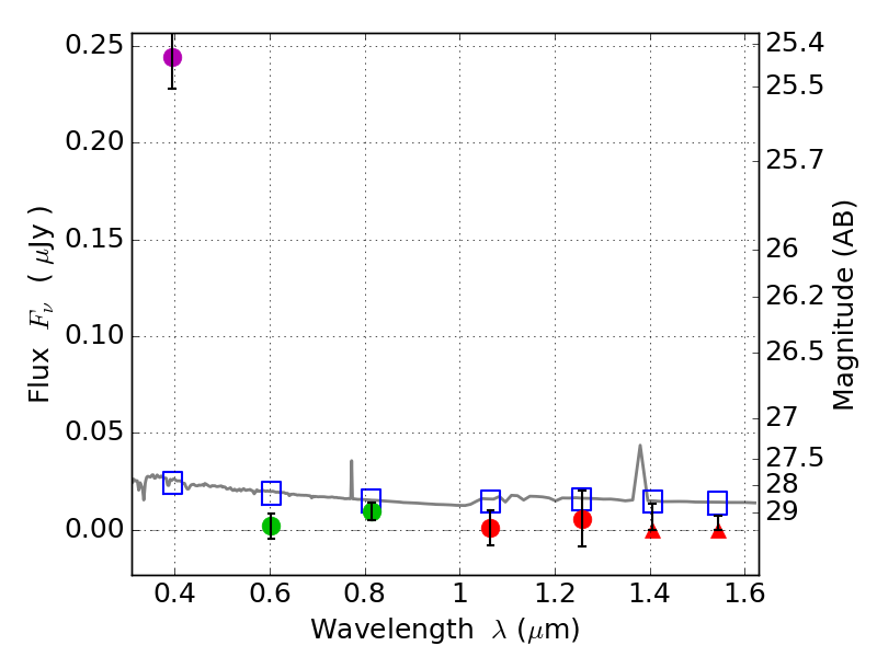
RXS0603+42-N IR detection object #1889

Color images and BPZ results
Catalog: 1889.cat
Black segments are analyzed here.   Roll mouse over color images to view segments.
Best viewed in a wide browser window (1200 pixels or more).   Download SED & P(z) plots to view larger versions.
In P(z) plots: Yellow lines mark the cluster redshift z = 0.228,  

Object #1889   x,y = (1973, 2939)   RA, Dec = (06:03:16.992, 42:16:14.16) = (90.82080, 42.27060)   BPZ = 1.763 [0.898--2.287]   type = 11.00 (SB11_A_0_l)   stellarity = 0.68   chisq2 = 48.10   ODDS = 0.40   z_cluster = 0.228