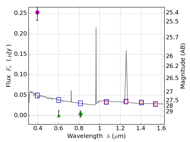
RXS0603+42-N IR detection object #1876

Color images and BPZ results
Catalog: 1876.cat
Black segments are analyzed here.   Roll mouse over color images to view segments.
Best viewed in a wide browser window (1200 pixels or more).   Download SED & P(z) plots to view larger versions.
In P(z) plots: Yellow lines mark the cluster redshift z = 0.228,  

Object #1876   x,y = (3978, 2941)   RA, Dec = (06:03:06.168, 42:16:14.16) = (90.77570, 42.27060)   BPZ = 1.594 [1.178--2.122]   type = 11.00 (SB11_A_0_l)   stellarity = 0.65   chisq2 = 118.70   ODDS = 0.35   z_cluster = 0.228