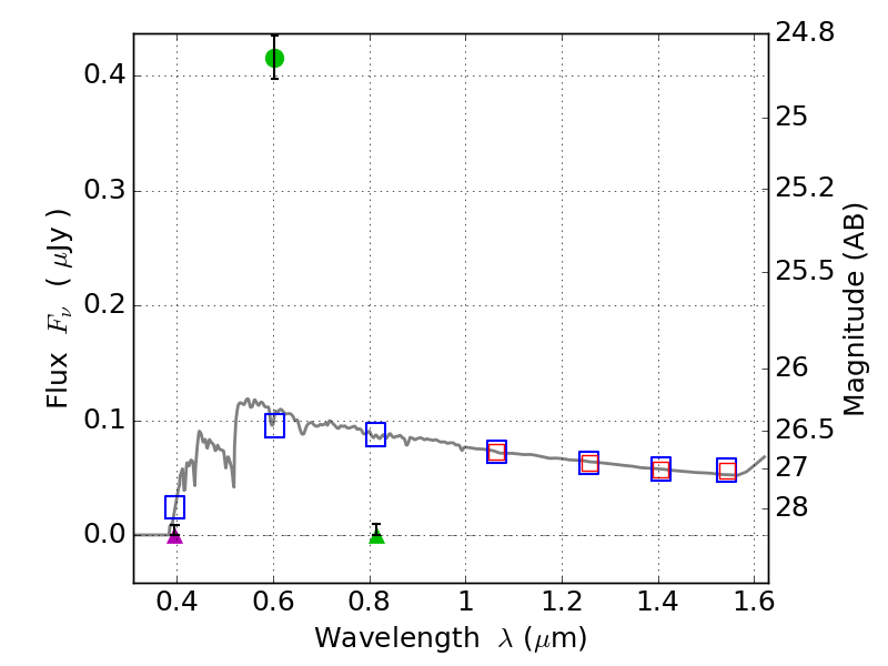
RXS0603+42-N IR detection object #1870

Color images and BPZ results
Catalog: 1870.cat
Black segments are analyzed here.   Roll mouse over color images to view segments.
Best viewed in a wide browser window (1200 pixels or more).   Download SED & P(z) plots to view larger versions.
In P(z) plots: Yellow lines mark the cluster redshift z = 0.228,  

Object #1870   x,y = (4311, 2947)   RA, Dec = (06:03:04.368, 42:16:14.52) = (90.76820, 42.27070)   BPZ = 3.272 [3.125--3.501]   type = 11.00 (SB11_A_0_l)   stellarity = 0.67   chisq2 = 324.20   ODDS = 0.91   z_cluster = 0.228