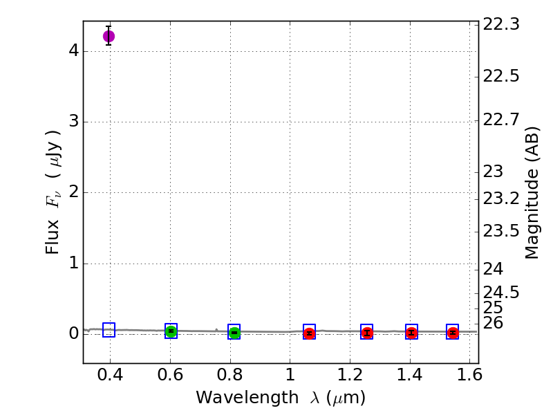
RXS0603+42-N IR detection object #1825

Color images and BPZ results
Catalog: 1825.cat
Black segments are analyzed here.   Roll mouse over color images to view segments.
Best viewed in a wide browser window (1200 pixels or more).   Download SED & P(z) plots to view larger versions.
In P(z) plots: Yellow lines mark the cluster redshift z = 0.228,  

Object #1825   x,y = (1911, 2960)   RA, Dec = (06:03:17.328, 42:16:15.24) = (90.82220, 42.27090)   BPZ = 1.699 [1.181--2.360]   type = 11.00 (SB11_A_0_l)   stellarity = 0.81   chisq2 = 264.40   ODDS = 0.39   z_cluster = 0.228