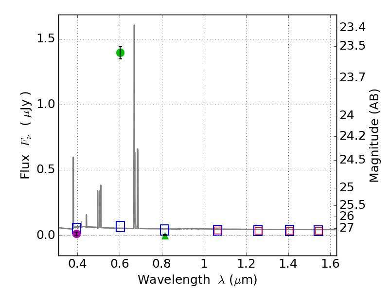
RXS0603+42-N IR detection object #1816

Color images and BPZ results
Catalog: 1816.cat
Black segments are analyzed here.   Roll mouse over color images to view segments.
Best viewed in a wide browser window (1200 pixels or more).   Download SED & P(z) plots to view larger versions.
In P(z) plots: Yellow lines mark the cluster redshift z = 0.228,  

Object #1816   x,y = (4159, 2965)   RA, Dec = (06:03:05.184, 42:16:15.60) = (90.77160, 42.27100)   BPZ = 0.023 [0.010--1.663]   type = 11.00 (SB11_A_0_l)   stellarity = 0.70   chisq2 = 833.60   ODDS = 0.97   z_cluster = 0.228