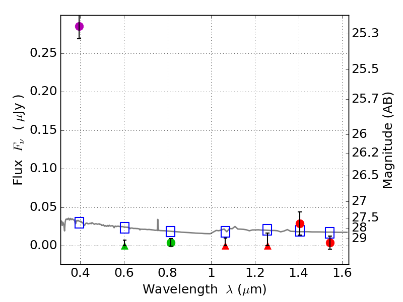
RXS0603+42-N IR detection object #1811

Color images and BPZ results
Catalog: 1811.cat
Black segments are analyzed here.   Roll mouse over color images to view segments.
Best viewed in a wide browser window (1200 pixels or more).   Download SED & P(z) plots to view larger versions.
In P(z) plots: Yellow lines mark the cluster redshift z = 0.228,  

Object #1811   x,y = (2028, 2966)   RA, Dec = (06:03:16.704, 42:16:15.60) = (90.81960, 42.27100)   BPZ = 1.697 [1.285--2.168]   type = 11.00 (SB11_A_0_l)   stellarity = 0.72   chisq2 = 64.94   ODDS = 0.51   z_cluster = 0.228