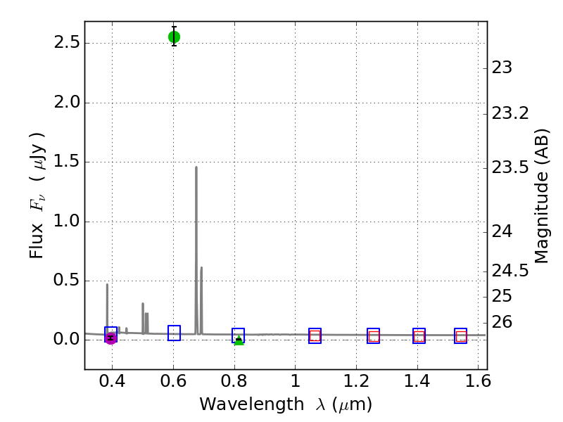
RXS0603+42-N IR detection object #1799

Color images and BPZ results
Catalog: 1799.cat
Black segments are analyzed here.   Roll mouse over color images to view segments.
Best viewed in a wide browser window (1200 pixels or more).   Download SED & P(z) plots to view larger versions.
In P(z) plots: Yellow lines mark the cluster redshift z = 0.228,  

Object #1799   x,y = (4209, 2969)   RA, Dec = (06:03:04.920, 42:16:15.96) = (90.77050, 42.27110)   BPZ = 0.027 [0.011--2.916]   type = 11.00 (SB11_A_0_l)   stellarity = 0.67   chisq2 = 1038.00   ODDS = 0.63   z_cluster = 0.228