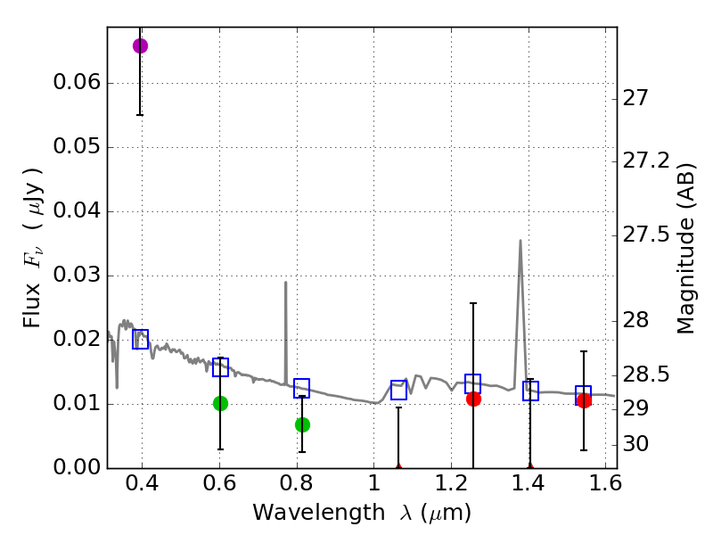
RXS0603+42-N IR detection object #1767

Color images and BPZ results
Catalog: 1767.cat
Black segments are analyzed here.   Roll mouse over color images to view segments.
Best viewed in a wide browser window (1200 pixels or more).   Download SED & P(z) plots to view larger versions.
In P(z) plots: Yellow lines mark the cluster redshift z = 0.228,  

Object #1767   x,y = (3036, 2986)   RA, Dec = (06:03:11.256, 42:16:16.68) = (90.79690, 42.27130)   BPZ = 1.764 [0.625--2.618]   type = 11.00 (SB11_A_0_l)   stellarity = 0.46   chisq2 = 5.57   ODDS = 0.23   z_cluster = 0.228