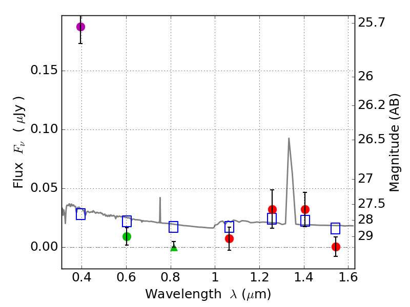
RXS0603+42-N IR detection object #1759

Color images and BPZ results
Catalog: 1759.cat
Black segments are analyzed here.   Roll mouse over color images to view segments.
Best viewed in a wide browser window (1200 pixels or more).   Download SED & P(z) plots to view larger versions.
In P(z) plots: Yellow lines mark the cluster redshift z = 0.228,  

Object #1759   x,y = (3158, 2989)   RA, Dec = (06:03:10.584, 42:16:17.04) = (90.79410, 42.27140)   BPZ = 1.693 [1.135--2.143]   type = 11.00 (SB11_A_0_l)   stellarity = 0.68   chisq2 = 34.77   ODDS = 0.56   z_cluster = 0.228