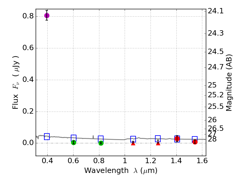
RXS0603+42-N IR detection object #1726

Color images and BPZ results
Catalog: 1726.cat
Black segments are analyzed here.   Roll mouse over color images to view segments.
Best viewed in a wide browser window (1200 pixels or more).   Download SED & P(z) plots to view larger versions.
In P(z) plots: Yellow lines mark the cluster redshift z = 0.228,  

Object #1726   x,y = (2192, 3001)   RA, Dec = (06:03:15.816, 42:16:17.76) = (90.81590, 42.27160)   BPZ = 1.698 [1.421--2.115]   type = 11.00 (SB11_A_0_l)   stellarity = 0.96   chisq2 = 168.30   ODDS = 0.55   z_cluster = 0.228