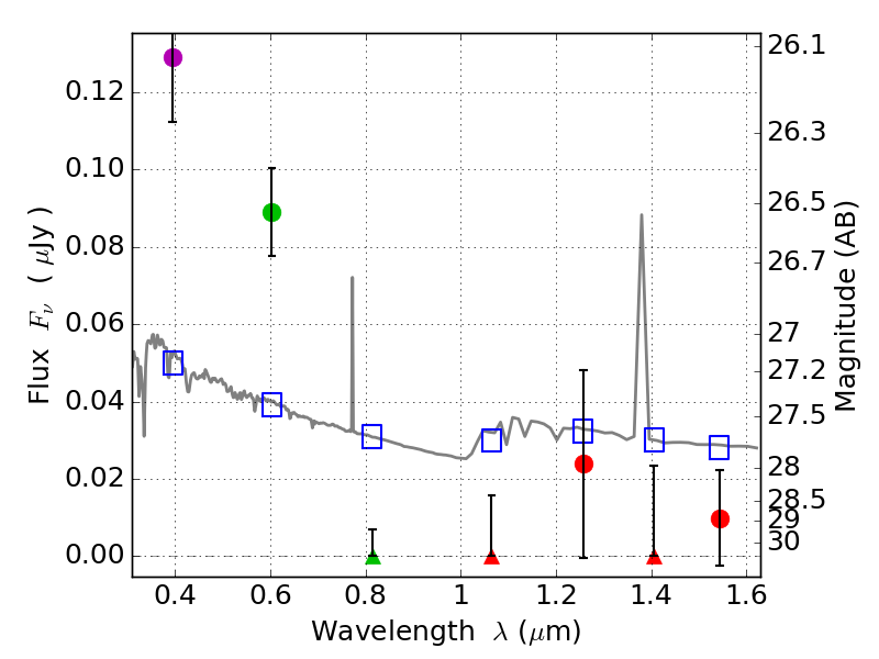
RXS0603+42-N IR detection object #1711

Color images and BPZ results
Catalog: 1711.cat
Black segments are analyzed here.   Roll mouse over color images to view segments.
Best viewed in a wide browser window (1200 pixels or more).   Download SED & P(z) plots to view larger versions.
In P(z) plots: Yellow lines mark the cluster redshift z = 0.228,  

Object #1711   x,y = (2712, 3007)   RA, Dec = (06:03:13.008, 42:16:18.12) = (90.80420, 42.27170)   BPZ = 1.763 [0.032--2.320]   type = 11.00 (SB11_A_0_l)   stellarity = 0.47   chisq2 = 15.47   ODDS = 0.43   z_cluster = 0.228